1 对回转窑煤粉燃烧认识的深入
从工艺过程角度看,用于对回转窑烧成带提供热量的燃烧器应满足下述要求:
1)对燃烧品质具有较强的适应性,特别是在燃烧无烟煤或劣质煤时,能确保在较低空气过剩系数下完全燃烧,其CO和NOx排放量降至比较低限度。
2)火焰形状应是细而不长,使整个烧成带具有强而均匀的热辐射。这一方面有利于熟料结粒、熟料矿物晶相正常发育,防止烧成带扬尘;另一方面有利于形成致密稳定的烧成带窑皮,延长耐火砖使用寿命。
3)一次风用量尽可能少,但必须保证在不正常的窑况下火焰燃烧的稳定。
值得指出的是,在上述要求中强调了火焰形成应是“细而不长”以形成合理的燃烧带长度,而不再象以往那样强调化燃烧以适应强化煅烧要求,这是因为强化燃烧所形成的局部高温对烧成带窑皮不利,从而影响耐火砖使用寿命,另一方面局部高温将增加NOx的排放量。
一般情况,来自冷却机的二次风温可达900℃以上,窑头燃烧火焰温度高达1800℃左右,其燃烧一般已进入扩散控制区。扩散控制区的燃烧特点在于:煤粉燃烬时间受煤粉细度的影响较大(正比于煤粉粒径的平方),而受煤品种特性影响较小,煤粉燃烧速率取决于其扩散速率,即煤粉和助燃空气的混合速率及火焰区的湍流强度。换句话说,在燃料品种和煤粉细度一定情况下,为在整个烧成带范围内形成均匀燃烧强度的火焰,必须控制煤粉和助燃空气的混合速率。在窑头的所有助燃空气中,二次风量一般占80%以上,所以控制煤粉和助燃空气的混合速率实质上是控制燃烧器出口射流股对二次风的引射速率。至于火焰形状除受到对二次风的引射速率和一次射流股的旋流强度等方面因素的影响外,还取决于燃烧器出口一次射流本身的“刚度”,一次射流本身的“刚度”可以一次射流比较大速度沿轴向的衰减程度来衡量。上述这些都取决窑头受限射流空气动力学方面的精确设计。图1为我们实测到的典型的窑及三通道燃烧器所形成的受限射流速度场。

水泥回转窑内煤粉的燃烧属受限射流火焰,在二次空气供给量一定时,按一次射流动量通量大小可分两种情况:
1)当一次射流动量通量不大时,二次空气足够引射,也即射流在扩展到窑壁前,引射量不受影响。
2)当一次射流动量通量大到一定值时,二次空气不能满足引射量的要求,即在射流量到窑壁之前的某个位置,二次空气被引射完毕,过剩的射流动量随即开始引射下游区域的燃烧烟气,形成外部回流区。
外回流的产生一方面使下游炽热燃烧烟气的回流增加了上游火焰化学活性基团和温度浓度,从而增加煤粉后期燃烧速度;另一方面冲淡了可燃混合物中氧含量和挤占燃烧空间,这会引起燃烧速度降低,增加了火焰长度,所以外回流的大小有一比较佳范围。
此外,适度的外回流对煤粉/空气混合过程有促进作用,而没有外回流,则表明并非所有的二次空气都被带入一次射流火焰中。值得指出的另一个重要方面是,适度的外回流可以防止“扫窑皮现象”,防止一次射流扩展碰撞窑皮。经验表明,在射流扩展的理论碰撞点附近常常发生耐火砖磨损过快现象,导致窑运转周期缩短。
在使用低挥发分燃烧时,火焰的气体流场是非常重要的,因为低挥发燃烧一般具有较高的着火点,加之由于挥发分含量低、挥发分燃烧所产生的热量不足以使炭粒加热到着火温度而使燃烧持续进行。确保低挥发煤持续点燃的比较简便方法是增加火焰内循环量,使下游炽热的燃烧产物回流到火焰根部以提高该处一次风和煤粉温度。内循环的产生及其大小主要取决于燃烧器出口结构参数。
综上分析,喷煤管出口动量通量和旋流强度是窑头火焰设计和操作的重要参数。喷煤管出口动量通量是射流股对来自冷却机二次空气引射能力的度量。过小的动量通量将导致二次空气和煤粉不能很好地混合,燃烧不完全,窑尾CO含量升高,煤灰沉落不均而影响熟料质量,甚至引起结前圈。另外由于火焰下游外回流消失,加之火焰刚度不够(火焰的浮升)使火焰易碰撞窑皮,影响耐火砖使用寿命。过大的动量通量会引起过大的外回流。一方面挤占火焰下游的燃烧空间;另一方面降低火焰下游氧浓度,同样导致燃烧不完全,窑尾温度升高。
喷煤管出口射流旋流主要控制着火焰形状、因此被称之为火焰形状系数。随着旋流强度的增加,火焰变粗、变短,可强化火焰对熟料的热辐射。但过强的旋流会引起双峰火焰,即发散火焰,易使局部窑皮过热、剥落;另一方面也易引起“黑火头”消失,喷嘴直接接触火焰根部而被烧坏。虽然大多数多通道燃烧器的旋流强度可在操作中调节,但极限参数的限定是很重要的,也是必须的。
2 窑头火焰的空气动力学计算
2.1一次射流动量通量
根据经验,多通道燃烧器的同轴射流在其不远的下游,表现出和单股射流相同的空气动力学特征。为了分析方便作以下假定,在射流混合区内作一垂直于射流轴线的截面,截面上游的引射量伯为其下游射流的一部分。则旋转射流对二次风的引射速率为:

式中:M――引射量的质量流量,kg/s;
X――距喷口的轴向距离,m;
Kl――温度系数;
C――射流出口轴向总动量通量,N。对于多通道煤粉燃烧器,总动量通量等于各通道出口轴向动量通量之和:C=∑G;
S――任意垂直于燃烧器轴线截面的旋流数;
P。――被引射空气的密度,kg/m3;
P。――射流混合物的密度,kg/m3;
GФ――旋流风的角动量通量,N·m;
Gx――射流出口轴向动量总通量,N;
R――射流出口当量半径,m;
a――将同轴射流看作单股射流而引入的常数;
a――射流扩展半角,随旋流数量呈线性增加;
S。――按三通道燃烧器出口尺寸和风速计算的旋流数。
有关资料介绍,K。、K分别为4.8和14,不过对于多通道燃烧器的具体喷嘴形式应由冷态实验等方法确定。
根据动量守恒原理,在射流扩展过程中,角动量和轴向动量均保持为常数,解联立议程(1)、(3)和(4)可得到下列等式:
M=〔K1X+K2(GФ/Gx·tga)㏑(X+a)〕K1/G2
将GФ/Gx=SoRo代入该式得;
M=K1KtX/G2+K2KtRoSo\tg-1a·㏑(X+a)/ G2 (6)
不难看出,式(6)中高项为射流轴向运动的引射量,第二项为射流旋转运动而产生的附加引射量。
为达到煤粉在接近等当量比下燃烧,式(6)中M应根据燃烧计算所需的实际空气需要量给出。为分析方便,令:
M=K3Gm-Mo=K3qcGc/Qnet.ar-M (7)
式中:Mo―――次空气、煤粉输送空气问题,kg/s;
Gm――煤粉消耗量,kg/s;
K3――单位煤粉燃烧实际空气需要量,kg/kg;
qc――熟料单位热耗,kg/kg;
Gc――熟料产量,kg/s;
Qnet.ar――煤粉应用基低位热值,kJ/kg;
式(6)中,X的比较大值等于射流混合区长度。只有当射流出口动量小到一定值时,外回流区完全消失,才会出现这一情况,此时X为:
X=Xmax=D/2 tga-a (8)
式中:D――窑烧成带有效内径,m
将(7)、(8)式代入(6)整理后得:
G=Po/Pctg2a(K3qcGc/Qnet.ar-Mo/K1(D/2-atga)+K2RoSo㏑(D/2tga)2 (9)
根据实验资料,等温旋转射流的引射量可用下列经验式表示:
M/Mo=(K1′+K2′S)(X/2Ro) (10)
根据不同资料,K1′,K2′取值范围为:
K1′=0.32-0.35
K2′=0.8-1.07
比较(10)和(1)不难看出:
K1=(0.32-0.35)∏p/2
K2=0.8-1.07∏p/2
K3可以通过燃烧计算得出。因此,若通过对现行喷嘴结构利用冷态实验等方法确定a值和a值,则便可以利用式(9)计算出燃烧器射流必须达到的比较小轴向总动量通量。
根据计算机数值模拟结果,a的范围基本上在(1.5-3)do之间,do为燃烧器出口外径。a基本上符合式(5),只不过Ko不是4.8而是11.5,K仍为14。
2.2 旋流数
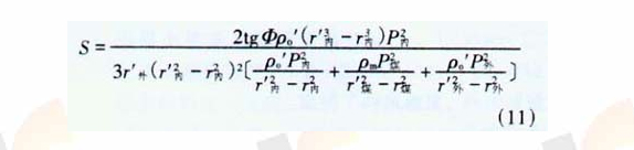
根据有关介绍,在不知道旋转射流横截面上的速度分布和静压分布时,可近似从燃烧器出口端结构参数和工艺参数计算旋流数,其近似程度良好,即
S=G/Gx’R
由于前述理由,可将多股同轴射流近似看作单股旋转贡献,从而确定出一次射流的旋流数。(11)式是根据上述观点经推导整理后得到的三通道喷煤管嘴旋流数的计算公式:

式中:P1――各通道风量与一次风总量(包括煤风)之比;
ф――旋流叶片的轴向夹角;
Pm――煤粉浓相输送视密度,kg/m3;
P――一次风净风密度,kg/m3;
R――各通道环形出口外半径,mm;
R――各通道环形出口内半径,mm。
同理,双通道燃烧器的旋流数可表达为:
(12)
将我院冷模试验用CTI型燃烧器喷嘴结构参数代入(11)式,并令P煤=0.33,P=P′,得到下式:
S=94.282tgф/170+288(0.67/P-1)2+10.532/P
令ф=45°,P内=0.670,则S=0.487;
令ф=45°,P内=0.335,则S=0.171;
令ф=30°,P内=0.335,则S=0.0986;
令ф=30°,P内=0.670,则S=0.281;
通过上述计算可以发现,调节内、外风的比例来改变旋流数,从而达到改变火焰形状的目的是极为有效的。这与冷态试验结构是一致的。
3 关于燃烧器喷嘴结构设计方面的几个值得讨论的问题
3.1 喷嘴的基本结构形式
从上述分析中可知,增加一次射流的旋流数将提高一次射流的引射速率,即煤粉和二次风的混合速率,从而强化了窑头煤粉燃烧,使火焰变得粗短,所以旋流系数又被称之为火焰形状系数。实际上燃烧器喷嘴结构形式和参数的变化也明显地影响火焰的形状。从空气动力学的角度简单地理解,一次射流对二次风的引射量取决于一次射流的动量通量,其引射速率除受一次射流角动量通量控制外,一次射流和二次风的接触面积(以水力半径度量)显然对引射速率有较大影响,因为引射是通过射流股和周边二次风接触而上的动量交换而产生的。喷嘴设计中,在保持喷嘴出口截面积不变情况下减小水力半径,即增加射流股和二次风的接触面积,将增加煤粉和二次风的混合速率,使火焰变得粗短;另一方面也由于过高的二次风混入速率使一次射流股的核心速度衰减过快,表现为火焰“刚度”下降,对窑内的穿透深度减小。笔者曾就当时市面上的三通道煤粉燃烧器归纳成3种基本结构形式,见图2。其中在相同的一次净风总的出口截面积情况下,c型对二次风的引射速率高于a型,实践中前者火焰粗短,燃烧剧烈,较适合于强化煅烧情况。b型中煤粉通道被分割成数个流股,由于煤粉通道介于内风和外风通道之间,因而增加了煤粉对一次风的混合能力。笔者认为,这种结构形式可能对燃烧速率影响不大,实践中我国在300t/d、600t/d的预热器窑上使用较多,普遍认为火焰散,有时甚至出现所谓的“鹰爪型”火焰,这种不利现象可以通过适当减小煤粉通道的动量通量得以改善。

3.2喷嘴的通道数
传统的三通道煤粉燃烧器的旋流风通道、煤粉通道及直流风通道是由中心向外排列形成了3个同轴环形喷嘴出口,该技术发展初期市面上出现过具有更多通道的燃烧器。随着技术的发展,窑的一次风用量不断被减小以提高熟料冷却机的热回收效率;另一方面较少的一次风用量也有利于低挥发分工或劣质煤的应用。然而根据上述分析,为维持一定的一次射流动量能量,在减少一次空气用量的同时必须提高一次射流总的出口速度。因此出现的问题有如下几个方面:
1)由于出口速度高和一次风用量低的要求,旋流风及直流风环形出口缝隙往往很小,机加工和使用过程中难以保证较高的同轴度要求,引起火焰变形偏转。
2)多股风因出口缝隙小,核心速度衰减过快,射流穿透深度不够,导致火焰的“刚度”不足,成形效果差。另外也由于多股风在出口处相互干扰,增加了不必要的溢流强度,使出口阻力损失增大。
3)过多的通道数,减少了外风通道的通过风量,使燃烧器外套管得不到跔的冷却,引起变形从而导致燃烧器外层耐火浇注料的过早损坏。
近期国际上发展起来的双通道燃烧器可有效地克服上述多通道燃烧的缺点,Unitherm公司的M.A.S燃烧器和F.L.Smidth公司的DULFLEX燃烧器均属这一类型,取消了内风通道,外风通道的旋流强度可以高速。从双通道燃烧器的旋流数表达式(见式12)可以看出调整旋流器角度Φ和调整旋流风比例P均可有效地改变旋流数S,从而调整火焰形状以适应窑的煅烧工况,M.A.S燃烧器可在操作中改变旋流器角度以调整火焰形状。在双通道燃烧器喷嘴结构上,由于煤粉通道被布置在中心,因而在控制火焰方面具有延缓煤粉和二次风的混合,降低火焰峰值温度的特点。山东章丘水泥厂引进Unitherm公司1台双通道燃烧器,据反应使用效果很理想。
3.3 稳定火焰的措施
除一定的煤粉细度要求和较高的二次风温度及较低的一次风用量要求外,还可以从下述几方面考虑稳定火焰的措施。
1) 一定的煤粉出口速度;
2) 一定的热烟气内回流量;
3) 采用值班火焰。
无论什么品质的煤粉,燃烧器煤粉出口速度的设定应以不发生脉冲为前提,无脉冲速度的选择依赖于实际煤粉输送工况如弯头数、输送距离、爬升高度、煤粉细度等。在冷窑启动过程中或窑况不稳定、燃烧带温度过低、二次风温不高的不利情况下,大部分无烟煤使用厂家需采用油煤混烧的方式渡过此难关。辅助燃油量占总供给热量的10%-20%,起到了值班火焰的作用。为有效地降低水泥生产的燃油成本,这方面的技术问题有待进一步形容进一步降低燃油比例,如从一次风用量、内回流强度、值班火焰和煤粉火焰间的相互关系方面优化组织燃烧。
如前所述,热烟气内回流是解决稳定低挥发分煤燃烧简单而经济的途径。产生热烟气内回流的方法很多,主要措施有旋转射流、大速差射流,非流线体及整流罩。一般情况下,水泥窑煤粉燃烧器的旋流数不超过0.5,属弱旋转射流范畴,其本身对内回流区的产生及尺寸影响不大。我院曾就大速并稳焰措施在某水泥厂进行了工业性试验,可稳定燃烧1670/kg以下的高灰分煤,但大速差燃烧器消耗的压缩空气量较大,工厂长期使用并不经济。非流线体加整流罩是目前多数燃烧器开发商常用的技术升旗。非流线钝体的设计常结合喷煤管的结构情况,以圆台体或扩大的中心压力,使下游已燃烧烟气在反向压力梯度作用下回流至出口中心区,迅速加热出口煤粉射流混合物;另一方面,射流罩的存在阻挡了二次风的过早混入,即减少了火焰中Nox量也降低了火焰峰值温度,从而避免了烧成带窑皮因局部高温而频繁脱落。
4 水泥窑燃烧技术的发展方向
4.1 降低Nox排放量
我国目前水泥回转窑的Nox排放量大都超过0.1%,高的超过0.2%,而一些先进国家已控制在0.02%-0.04%以下。燃烧过程中Nox排放分3种类型,即热力Nox排放、燃料Nox排放和催化Nox排放,三者与燃烧温度的关系见图3。由于窑头火焰温度高达1800℃左右,热力Nox占主要地位(当燃料中含有碳氢化合物时,会在较低温度下出现催化Nox排放)。减少窑头Nox排放的主要途径在于一方面应尽量降低火焰的峰值温度,避免局部高温,这往往和强化燃烧概念相矛盾,需要对火焰各阶段的二次风混合速率进行控制;另一方面应控制局部氧浓度,特别是对燃烧器出口至着火这一阶段的氧浓度控制。图4中高挥发分烟煤、中等挥发分烟煤和石油焦的着火温度依次升高。在相同受限射流火焰中,三者距燃烧器出口的着火距离依次是石油焦>中等挥发分烟煤>高挥发分烟煤,其Nox排放量大小依次是石油焦>中等挥发分烟煤>高挥发分烟煤。


4.2 劣质煤再生燃料的应用及各种工业有毒废料的处理
再生燃料的范围十分广泛,如废旧塑料、轮胎、废木屑、各种工业可燃废料废液、城市生活垃圾等。国外多数公司开发的水泥窑燃烧器都有多种燃料混烧的功能,可根据燃料品质情况混烧劣质煤和再生燃料。
水泥窑火焰燃烧温度高、停留时间长,加之水泥熟料质量对各种燃烬物的影响并不十分敏感,这就为繁多的工业和生活垃圾甚至各种有毒废料的处理提供了理想条件。
目前有许多城市已开始实施城市垃圾分类措施,因而可以预计,今后的几年内水泥窑处理各种工业和生活垃圾将成为水泥窑燃烧技术发展热点。








